差動伝送線路は高速データ通信の受動相互接続構造として広く使用されています。プリント基板やパッケージに使用されている線路にはストリップラインとマイクロストリップラインの二種類があります。ストリップラインには純粋なTEMモードが伝搬します。伝送線路を二枚の金属層(多くの場合、電源とグランドプレーン)の間に挟んだ構造で、EMCの観点からは少なからぬ優位性があります。一方、マイクロストリップラインは誘電体基板の表面に線路を形成した構造です。空気と基板という異なる誘電体で構成されることから伝搬モードはquasi-TEMとなります。このため、高速信号ではストリップラインに比べて信号の減衰が大きくなり、またシールディングが無いため放射レベルも高くなります。
参考文献[1]では、結合マイクロストリップ線路のモード伝搬特性を解析し、そのシグナルインテグリティに与える影響を調べています。本事例では評価ボードを作製し、ソフトウェアによる計算結果をボードの測定結果と比較します。差動ネットは長さ15 inch、幅4.7 mil、厚さ 1.18 milの銅箔で、10層プリント基板の最下層に形成されています(図1)。

図1:相関調査用評価ボード - 差動マイクロストリップ線路を強調表示
評価ボードは非常に複雑な構造を有します。解析はコードの検証のみを目的とするため、構造全体ではなく、差動ネットを中心とする部分を選択してシミュレーションを行います。この手法は、構造サイズが微小で周波数が非常に高く、密配線されたネットでは有効ではありませんが、本事例では、電源構造のサイズが解析結果におよぼす影響を無視できます。
誘電体基板材質の電気特性は、n次Debyeモデルで表します。HammerstadとJensenの式をベースとした計算により、表面粗さがもたらす導体損失の効果を考慮します。計算結果のSパラメータを図2に示します。シミュレーションを行った周波数範囲0?12 GHzにおいて、測定結果とCST MWSのシミュレーション結果は良好な相関を示します。

図2:Sパラメータ測定結果 vs. シミュレーション結果: S11(桃と紺)、S21(赤と緑)、NEXT(深緑と水色)、FEXT(赤と青)
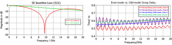
シングルエンド(SE)励起によるS21は、キャンセル周波数を示すディップが6.7 GHz付近にあります。一方、ミックストモード(DIFF)では、直線のプロットになります(図3左)。ミックストモードではまた、偶/奇モードの群遅延に相当の差があることが示されています(同右)。

図3:(左)S21 シングルエンド(SE)励起 vs. ミックストモード(DIFF)励起、(右)偶/奇モード群遅延
偶モードと奇モードの伝搬速度の差は、マイクロストリップ線路が(空気と基板という)異なる誘電率で構成されていることによって生じます。これらの相互に非依存な2つのモードが線路に沿って伝搬するとき、位相差がちょうど180°の奇数倍になる位置、周波数が存在します。その箇所と周波数でノード電圧はキャンセルされ、値がゼロとなります。モード伝搬遅延の差にトレース長を乗じた結果の平均を求め、それを全周波数における結果の近似とすることにより、全トレース長のデルタ伝搬遅延(tpd)が得られます。さらに下記の近似式により、キャンセル周波数(fr)を求めることができます[2]:
fr = (2n + 1) / 2tpd
上記の式を使用して、評価ボードで測定した群遅延から、デルタ伝搬遅延75psが求められます。この値はキャンセル周波数6.67 GHzに相当し、測定とシミュレーションによって得られたキャンセル周波数の値6.7 GHz(図2および3参照)とほぼ一致します。
シングルエンド入射損失のディップについて、さらに詳しく見るために、形状を簡略化したモデルを作成します(図4)。このマイクロストリップモデルは、トレース幅0.3 mm、間隔 0.7 mm、導体(銅)箔厚さ 1 oz、基板(FR-4, 誘電率 4.3)厚さ 30 milで、差動インピーダンスは100 Ohmとなります。なお、考慮するトレース長 3.15 inch、ボードサイズ 3.94 x 0.4 inch です。

図4:差動マイクロストリップ:簡略化したトレース形状モデル(部分)
このモデルでシミュレーションを行った結果、シングルエンドSパラメータ(S21)は9.64 GHzで明らかなディップを示しました(図なし)。これ以降、このモデルをベースとし、さらにソルダーマスクレイヤ(厚さと誘電率を変数で定義)を付加したものを用いて感度解析を行います。
まず、ソルダーマスクの厚さを3.93 mil に固定し、マスク材質の誘電率を1?10の範囲で変化させてその結果をみます。誘電率が高くなるほど、シングルエンド入射損失のキャンセル周波数も高周波側にシフトします(図5)。誘電率が7以上では、キャンセル周波数は20 GHzを超え、解析周波数範囲における入射損失は直線を示します。

図5:シングルエンド入射損失 ソルダーマスクの誘電率(eps_solder)で掃引
この特性は、偶モードと奇モードのモード群遅延で説明できます。ベースモデル(ケースA:赤)と誘電率を8としたモデル(ケースB:緑)のシングルエンド入射損失を図6左に示します。右はそれぞれのモデルについて偶モードと奇モードの群遅延を示しています。高誘電率(ケースB)では、奇モードの位相速度が明らかに低下しています。偶モードの位相速度も低下しますが、奇モードに比べればその割合は小さくなっています。2つのモードの群遅延は、ケースBにほぼ等しくなります。これらの結果に基づき、ケースAのデルタ伝搬遅延は53.76psecと計算されますが、これに対応するキャンセル周波数9.3 GHzとなり、シミュレーションでもこれに近い値(9.64 GHz)が示されています。同様に、ケースBのデルタ伝搬遅延は9.8psec、対応するキャンセル周波数は51GHzです。この周波数は解析周波数範囲を超えているため、ケースB入射損失は直線状のプロットとなっています。

図6:(左)シングルエンド入射損失 ケースAとケースB、(右)群遅延 偶モードと奇モード
ケースAとBについて、それぞれ二つのモードの伝搬位相を見ると(図7)、ケースAでは9.64GHzにおいて180°の位相差を示しています。この周波数はキャンセル周波数に一致します。一方、ケースBについては、解析周波数範囲において二つのモードの位相差は無視できるレベルに留まっています。

図7:偶モードと奇モードの群遅延(位相) (上)ケースA、(下)ケースB
二つめのパラメータスイープは、ソルダーマスクレイヤの厚さを変えてその影響を見ます。誘電率は基板の誘電率4.3に固定します。図8に示す計算結果によると、ソルダーマスクレイヤの厚さが大きくなるほど、シングルエンド入射損失のキャンセル周波数が高くなっています。このふるまいが起きる原因は、高誘電率のソルダーマスクレイヤでは、その厚みが増すほど、包含される奇モード電磁波の割合が高くなり、その結果、奇モードの伝搬速度が遅くなることにあります。奇モードの速度が低下すると、偶モードと奇モード間の位相速度の差が縮まり、デルタ伝搬遅延が低下し、すなわちキャンセル周波数が高くなります。
三つめの解析として、トレースの間隔を変化させてみます。このシミュレーションは、ソルダーマスクレイヤ無しで行っています。その結果(図8)トレースの間隔を広げるほどキャンセル周波数が高くなることが示されました。このふるまいが起きる原因は、間隔が広がるほどトレース間の結合が弱まり、偶モードと奇モードの位相速度の差が縮小することにあります。その結果、デルタ伝搬遅延が低下し、キャンセル周波数が高くなります。

図8:シングルエンド入射損失 (上)ソルダーマスクの厚さ(t_mask)で掃引、(下)トレースの間隔(gap)で掃引
最後に、感度解析を行った結果として差動インピーダンスを図9に示します。ソルダーマスクの誘電率と厚さを変化させた場合は、差動インピーダンスにそれほど違いは見られませんが、トレースの間隔を変えた場合は大きく異なる結果となりました。これにより差動インピーダンスは、ソルダーマスクの電気的特性よりもトレースの間隔の変化に対し敏感であるといえ、したがってソルダーマスクレイヤの誘電体材質と厚さに注意を払うことにより、結合マイクロストリップ差動ペアの入射損失を改善し、シグナルインテグリティのパフォーマンスを向上させることができます。

図9:差動インピーダンス (上段左)ソルダーマスク誘電率を変化、(上段右)ソルダーマスク厚さを変化、(下段)トレース間隔を変化
[1] D. Kostka, A.C. Scogna, F. Paglia, B. Mutnury, “Electrical performance of high speed signaling in coupled microstrip lines,” in Proc. of IEEE Electrical Performance of Electronic Packaging and Systems (EPEPS), 2011.
[2] G. Blando, G.Miller, I. Novak, Losses induced by asymmetry in differential transmission lines, in Proc. of DesignCon, 2007.
まずはお気軽にご相談ください。
解析目的や現在直面している課題などお聞かせください。
